Premisa para estandarizar

La distribución estandarizada considera que el área bajo la curva siempre es igual al 100 % de probabilidad. Con esta premisa, se estandariza cualquier curva, es decir, cualquier conjunto de valores se puede definir con este criterio.

Población

Curva normal estandarizada, donde la media es igual a 0 (μ = 0) y la desviación estándar es igual a 1 (σ = 1).

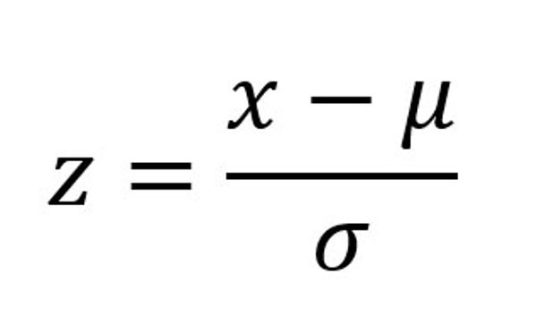
Fórmula

La distribución normal se denomina también distribución unitaria o reducida. Se obtiene cuando se considera que la media de un conjunto de datos tiene un valor de 0 (μ = 0) y, por desviación típica, 1 (σ = 1). De esta manera, todas las distribuciones pueden convertirse a una distribución estándar restando la media de cada observación y dividiendo por la desviación estándar.

Muestra

Resultado de la estandarización

Al convertir las distribuciones a una distribución estándar, la media puede considerarse como punto de referencia, y la desviación estándar, como una medida de desviación de tal punto de referencia. Con este criterio, se puede expresar cualquier distribución normal de forma estandarizada, es decir, cualquier valor real puede convertirse en su equivalente, medido en términos de su desviación estándar, para generar una puntuación “Z”.

Valores reales de una variable transformados a una estandarización “Z”

Obtención del área de probabilidad

La transformación de los valores a una estandarización “Z” permite encontrar el área de probabilidad de que un valor quede en alguno de los intervalos entre la media y los valores seleccionados bajo cualquier curva normal. Para encontrar dicha área, se utiliza la tabla de distribución normal.

Utilidad de la estandarización

Estandarizar una distribución normal permite resolver una gran cantidad de problemas sin tener que realizar todas las operaciones algebraicas para establecer, por ejemplo, la manera en que se distribuye una variable numérica aleatoria en una población, mejor conocida como función de densidad de probabilidad.

Dicha función tiene su fundamento en el teorema del límite central, el cual, de manera general, establece que la suma de variables aleatorias siempre sigue, en condiciones normales, una distribución normal cuando “n” es suficientemente grande; asimismo, garantiza la representatividad de una población cuando se elige una muestra de ella.

La distribución normal estándar es fundamental en estadísticas, y se utiliza en pruebas de hipótesis, intervalos de confianza y muchos otros aspectos del análisis de datos.

Cabe preguntarse entonces cómo aplicar la distribución normal estandarizada.

Imagina que estás llevando a cabo una investigación para medir la ansiedad en una población de adolescentes mediante el uso de una escala de ansiedad. Los puntajes en esta escala siguen una distribución normal estándar con una media (μ) de 50 y una desviación estándar (σ) de 10; esto quiere decir que el puntaje promedio de la escala de ansiedad es 50, y la mayoría de los estudiantes obtienen puntajes que se distribuyen normalmente alrededor de esta media.

A continuación, buscas identificar a los adolescentes que están experimentando niveles de ansiedad significativamente diferentes del promedio. Para ello, deberás calcular la puntuación “Z” de cada individuo en su estudio utilizado en la fórmula que acabas de observar.

Se señalan las partes de la fórmula. Se ejemplifica la fórmula.

Una adolescente llamada Ana llama tu atención debido a que obtuvo un puntaje de ansiedad de 65 en la escala para calcular la puntuación “Z”, la cual resulta ser de 1.5. Esto quiere decir que su puntaje de ansiedad está 1.5 desviaciones estándar por encima de la media. Lo anterior te sugiere que Ana tiene un nivel de ansiedad relativamente alto en comparación con la población en general. Como pudiste ver, se pueden utilizar las puntuaciones “Z” para identificar a los adolescentes que experimentan niveles de ansiedad atípicamente altos o bajos en relación con la población de referencia. También se pueden realizar análisis estadísticos y pruebas de hipótesis para investigar las diferencias en la ansiedad entre grupos de adolescentes. La distribución normal estándar se utiliza como referencia y como base para comparar y analizar otras distribuciones normales.